EKD-Gottesdienstbesuche 1975-2023

Eine differenzierte Analyse der Teilnehmerzahlen an den Gottesdiensten zu hohen kirchlichen Feiertagen verdeutlicht einen der Gründe für die Verringerung der Zahlen der Kirchenmitglieder: die geringer werdende erlebte soziale Gemeinschaft der Kirche und damit der Kirchenbindung. Auch an den Feiertagen. Auch an Weihnachten.
1. Datenbasis
2. Gottesdienste/Kirchenmitglieder 1975-2023
3. Gottesdienste an Feiertagen 1997-2023
4. Weihnachten, Ost/West
5. Vor und nach Corona
1. Datenbasis
Datenbasis sind die Statistiken der EKD zu den „Äußerungen des kirchlichen Lebens“. Darin erfasst werden die Anzahl der Gottesdienste und die Zahl der Teilnehmer in den jeweiligen Landeskirchen und insgesamt. Erfasst werden die Daten für Invokavit, dem Beginn der Fastenzeit, für Karfreitag, das Erntedankfest, den 1. Advent und den 24. Dezember, Weihnachten bzw. „Heiliger Abend“. Dazu gibt es eine Übersicht zum „durchschnittlichen Gottesdienstbesuch“.
Die Daten für 1975-1996 sind Übermittlungen der Statistikstelle des Kirchenamtes der EKD auf fowid-Anfrage. Für 2020 sind keine Teilnehmerzahlen an den Gottesdiensten publiziert.
2. Gottesdienste/Kirchenmitglieder 1975-2023
Die Teilnehmerzahlen an den Gottesdiensten der evangelischen Landeskirchen verringern sich kontinuierlich. Waren es Mitte der 1970er Jahre rund 1,2 Mio. Kirchenmitglieder, so sind es 2023 noch 460.000. (s. Tabelle 1 im Anschluss)

Der zahlenmäßige Anstieg ab 1997 (seitdem es eine Gesamtstatistik der EKD dazu gibt) verliert sich, wenn die Teilnehmerzahlen auf die Kirchenmitglieder bezogen werden.

Bis 1984 steigt der Anteil der Kirchenmitglieder, die einen Gottesdienst besuchen, dann verringert sich der Anteil, bleibt dann bis 2009 in gleicher Größenordnung von 3,8 Prozent der Kirchenmitglieder. Seit 2010 verringern sich die Anteile und befinden sich 2023 bei 2,4 Prozent.
Dabei sind die Veränderungen bei den Gottesdienstbesucher stärker ausgeprägt als die Verringerungen in der EKD-Mitgliedschaft.

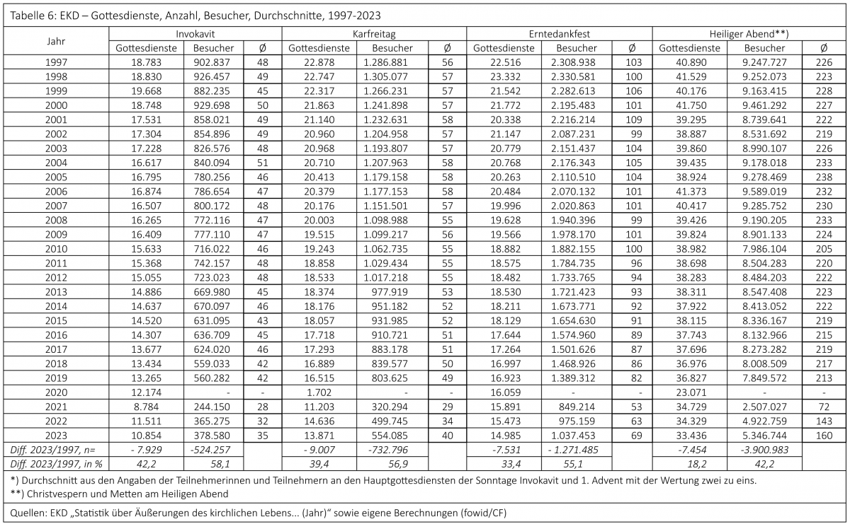
3. Gottesdienste an Feiertagen 1997-2023
Die Teilnehmerzahlen der Gottesdienste an den Feiertagen, an denen gezählt wird, erscheinen wie ein Hinweis, dass da im ‚Kirchenvolk noch mehr drin ist‘. Vor allem am Heiligen Abend sind es (vor Corona) bis 2019 - relativ gleichbleibend - durchschnittlich rund 220 Besucher. (s. Tabelle 6)

Bei den anderen Feiertagen ist noch das Erntedankfest ‚herausragend‘, hat jedoch ebenfalls - wie Karfreitag und Invokavit - eine sinkende Tendenz.

Diese Unterschiede zeigen sich ebenfalls in den Anteilen mit Bezug auf die Kirchenmitglieder: Die Anteile an Weihnachten sind bis 2019 stabil, leicht steigend.

Bei den anderen Feiertagen sinken die Anteile bis 2019 kontinuierlich.


Setzt man die Veränderungen von 1997 zu 2023 in Beziehung, so zeigt sich, dass die Verringerungen hinsichtlich des Gottesdienstbesuchs stärker sind als die Verringerungen der EKD-Mitglieder (s. Tabelle 6).

Diese größeren Verringerungen im Gottesdienstbesuch betreffen alle Feiertage, nur die Kindergottesdienste zu Invokavit und am Heiligen Abend sind etwas geringer.
4. Weihnachten, Ost/West
Diese Sonderrolle der Gottesdienste zu Weihnachten hat auch eine Ost-West-Komponente. In den östlichen Gliedkirchen sind – in den Jahren 1977–2011 - die Anteile der Kirchenmitglieder, die in einen Weihnachtsgottesdienst gehen, mit 53 bis 63 Prozent, signifikant höher als in den westlichen Gliedkirchen mit rund 30 Prozent. (s. Tabelle 7)

Betrachtet man jedoch die durchschnittliche Anzahl der Personen in den Weihnachtsgottesdiensten, so sind es in den östlichen Gliedkirchen – mit weniger Kirchenmitgliedern und kleineren Kirchengemeinden – durchgehend etwas weniger Teilnehmer als in den westlichen Gliedkirchen.

5. Vor und nach Corona
Die Besucherzahlen an den Gottesdiensten sind nach dem Coronajahr 2020 generell zurückgegangen. Während jedoch die durchschnittliche Besucherzahl der Erntedankfeste sich von 82 Teilnehmern (im Jahr 2019) auf 69 (im Jahr 2023) wieder ‚erholt‘ hat, sind es bei den Weihnachtsgottesdiensten von 213 Besuchern (im Jahr 2019) erst wieder 160 (im Jahr 2023).
Für 2025 heißt es im Sonntagsblatt: „Die Evangelische Kirche in Deutschland (EKD) hat für Heiligabend 2025 erneut hohe Besucherzahlen gemeldet. Nach ersten Hochrechnungen nahmen mehr als fünf Millionen Menschen an rund 33.000 evangelischen Weihnachtsgottesdiensten in Deutschland teil.“ Das sind – als Durchschnitt umgerechnet – 151 Personen, also weniger als 2023. Das würde dafür sprechen, dass die ‚Corona-Delle‘ langfristige Folgen hat.
Durch die Corona-Beschränkungen sind viele Gewohnheiten unterbrochen worden, so auch der weihnachtliche Kirchgang während des „Fest der Familie und des Friedens“.
Ob diese Traditionen und Gewohnheiten wieder aufgenommen werden, wird sich zeigen. Viele Familien haben gelernt, dass es die Familie zu Weihnachten auch ohne Kirchgang gibt.
Es würde auch anknüpfen an die Einstufung, dass 2023 zwei Drittel (65 Prozent) der EKD-Evangelischen den Lebensbereich „Kirche“ für sich als unwichtig bewerten. („Wichtigkeit von Religion und Kirche 2023“)
Die Ergebnisse der 6. Kirchenmitgliedschaftsuntersuchung (KMU 6) zeigen zudem (S. 248 ff.), dass nur 12 Prozent der Protestantinnen und Protestanten den „Gottesdienstbesuch als wichtig für das Christsein“ erachten (11 Prozent der evangelischen Christen im Westen und 19 Prozent im Osten).
Dass diese Corona-Einbußen nicht bleibend sein müssen, zeigt der Vergleich der Besucherzahlen eines anderen öffentlichen und wöchentlichen Ereignis: dem Fußball und seinen Zuschauern.

Carsten Frerk
Tabellen
(Im Anhang befindet sich eine Excel-Datei mit den auslesbaren Daten der Grafiken und Tabellen)











